Estados Unidos extiende el período para que Chevron culmine operaciones en Venezuela

Alertas 24

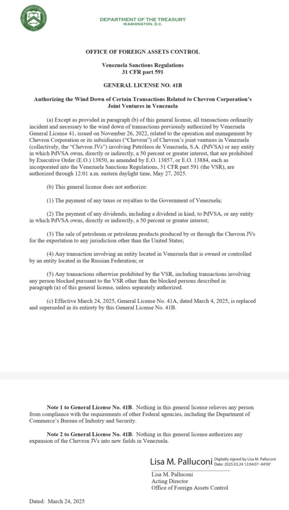
El Departamento del Tesoro de los Estados Unidos, a través de su Oficina de Control de Activos Extranjeros (OFAC), ha emitido la Licencia General 41B, extendiendo el permiso a Chevron Corporation para continuar sus operaciones en Venezuela hasta el 27 de mayo de 2025 (antes debía terminar el 3 de abril de 2025).

Esta licencia permite a Chevron llevar a cabo transacciones necesarias para la gestión de sus empresas conjuntas con Petróleos de Venezuela, S.A. (PdVSA).

Sin embargo, la extensión viene con restricciones significativas. La licencia prohíbe a Chevron pagar impuestos o regalías al gobierno venezolano, así como distribuir dividendos a PdVSA.

La licencia también incluye provisiones que impiden transacciones con entidades venezolanas controladas por la Federación Rusa y mantiene las sanciones sobre individuos y entidades bloqueadas.

Esta decisión representa una continuación de la política estadounidense hacia Venezuela, buscando limitar el flujo de ingresos hacia el gobierno de Maduro, al tiempo que se permite cierta actividad petrolera limitada, aseguran funcionarios de la Administración Trump.

La Licencia General 41B reemplaza la Licencia General 41A, emitida anteriormente.

EN DESARROLLO…

Comparte este artículo
Deja un comentario

Deja una respuesta

Tu dirección de correo electrónico no será publicada. Los campos obligatorios están marcados con *